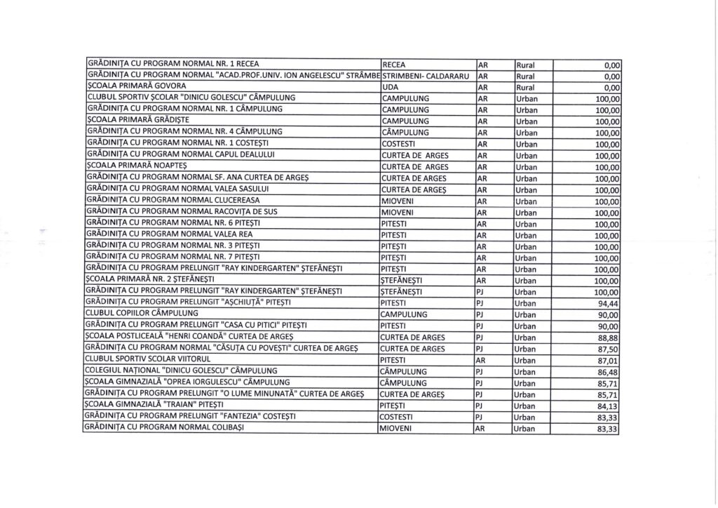
Fata de saptamana trecuta si pana in prezent s-au produs mai multe modificari in scoli, cu privire la lista personalului vaccinat, astfel ca marea majoritatea a unitatilor de invatamant din judet vor functiona in format fizic de saptamana viitoare. De asemenea observam, potrivit listei transmise de catre Prefectura Arges, ca sunt foarte multe unitati scolare, atat din mediul rural, cat si din mediul urban, in care personalul este suta la suta vaccinat. Sunt si scoli in care inca se va invata in format online. Pentru detalii suplimentare consultati urmatoarea lista:




















































